Most students are first introduced to the chain rule when shown how to differentiate a function such as y = (2x – 5) 4. The problem is that it is tempting to try and fit all chain rule differentiations into that format, for example trying to differentiate e 3x – 2 in the same way.
What is the chain rule?
It’s a calculus formula with a wide range of uses, just one of which is differentiating a ‘function of a function.’ Now, differentiation concerns the rate at which one variable is changing compared to a second variable. The chain rule extends this so that we can calculate how three (or more) vary with each other.
Suppose three people, called Yasmin, Uther and Xavier, are running together. Yasmin runs twice as fast as Uther, and Uther runs three times as fast as Xavier. How fast is Yasmin running compared to Xavier? Not hard to see that this will be 2 × 3 = 6 times faster. Now, dy ⁄ dx is the rate of change of y compared to x, and velocity is a rate of change. So if Yasmin, Uther and Xavier are reduced to the letters y, u, and x, we get:

The chain rules simply states the multiplicative relationship between the rates of change of three quantities y, u and x.
Function of a function
Before seeing how the chain rule can be useful in harder differentiations, let’s take a moment to examine the concept of a ‘function of a function.’
Suppose I take the example of (2x – 5)4 and I substitute x = 4. First, I calculate 2 × 4 – 5 = 3, then I calculate 34 = 81. In other words, I have first substituted into the function 2x – 5, and then the result into the function x4. Using function notation, if f(x) = 2x – 5 and g(x) = x4 then (2x – 5)4 = g(f(x)), or in IB notation,(g º f(x)). Note that multiplication isn’t involved: in function of a function, the output of one function becomes the input of the next. I shall refer to these as the ‘inner’ and ‘outer’ functions.
Using the chain rule to differentiate function of a function
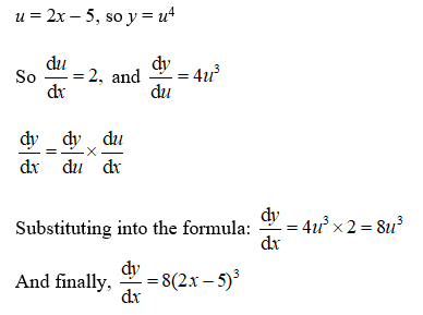
When faced with function of a function, we simplify things by replacing the inner function with a single letter, usually (but not necessarily) u. Now that we have three variables, we need the chain rule. Here’s the full working for differentiating y = (2x – 5)4.
• First identify the inner function – often in brackets. Replace it with u.
• Now rewrite the whole function, using u instead of the inner function.
• Next work out dy⁄du and du⁄dx
• Write down the chain rule, and substitute all the bits and pieces
• Finally replace u with the original inner function.
So, here goes:

The procedure is the same every time you carry out a chain rule differentiation – the only thinking you really have to do is to identify the inner function. So, for:

Continue revising
Getting prepared for your IB Maths exam requires a consistent review of your material and lots of practice of the different types of problems you are likely to encounter. Articles like the one above are helpful in checking your understanding of specific areas within the IB Maths syllabus. But, don’t let your exam preparation stop there. You’ll need to review fully all the topics in the syllabus to be as confident as possible heading into your exam. Our IB study guide for Mathematics Analysis and Approaches is available for both Standard and Higher Level students and offers a thorough review of syllabus topics, includes lots of worked examples to aid understanding, and contains numerous practice problems to help you perfect your exam technique. You can check out all our guides and free resources at our subject pages for Mathematics Analysis and Approaches and Mathematics Applications and Interpretation.